Matlab Chapter 6 Solutions

Check the answers with MATLAB. Our solutions are written by Chegg experts so you can be assured of the highest quality.


Solution Chapter 3 Introduction To Matlab Programming 2019 Matlab Studypool

9 1 32 74 0 08 and.

. Textbook solutions for MATLAB. A MATLAB program typically consists of a script that calls functions to do the actual work. MATLAB 6th Edition.

Every time you create an M-file you are writing a computer program using the MATLAB programming language. Solution 6 Input Output Commands In Matlab Studypool The following function is linear in the. View the primary ISBN for.

In this video we discuss solution of Chapter 6 of Amos Gilat book. Simplify the values in. This is an alternate ISBN.

Create a variable a that is a row vector with the following elements. For the function calculate the value of y for the following val- ues of x using element-by-element operations. ME 1020 Engineering Programming with MATLAB Chapter 6 Homework Solutions.

Find step-by-step solutions and answers to MATLAB. Chapter 6 solutions Plotting in Matlabتحميل كتاب ماتلاب من هذا الرابط. View step-by-step homework solutions for your homework.

Access Introduction to MATLAB 4th Edition Chapter 6 solutions now. 62 67 612 616 Problem 62. 1 Chapter 3 Solved Problems 1.

The following represents pressure samples in pounds. The expression represents that the LHS is greater than RHS which is wrong from the observation. Therefore it results false that is 0.

Read MATLAB for Engineers 5th Edition Chapter 6 Textbook Solutions for answers to questions in this college textbook. MATLAB software desktop consists of different tools and windows as shown in the fig11. A b c d Solution Part a 6 432- ans 0 Part b.

Null null Edition Textbook Solutions. Step 1 of 3. Amos Gilat Rent Buy.

Therefore it results true that is 1. 1 Chapter 2 Solved Problems 1. To create an empty script click on new script tab.

19 a MATLAB program in a script file that finds and displays all the numbers between 100 and 999 whose product of digits is 6 times the sum of the digits. An Introduction with Applications - 9781118629864 as well as thousands of textbooks so you can move forward with confidence. Solution of matlab chapter 3 1.

A modular program is a program in which the solution is broken down into modules and each is. Step 2 of 3. Solution of matlab chapter 2 1.

You can do quite a lot in MATLAB using no more than the. An Introduction with Applications 6th Edition Amos Gilat and others in this series.


Ncert Solutions For Class 9 Hindi Sparsh Chapter 6 Shukratare Ka Saman


My Publications Three Phase Fault Analysis With Auto Reset Technology Page 40 41 Created With Publitas Com


Matlab Onramp Matlab Community Matlab Simulink


Ert 210 Dynamics And Process Control Chapter 11 Matlab Tutorial Ppt Download


Kseeb Solutions For Class 7 Science Chapter 6 Bhauta Mattu Rasayanika Badalavanegalu Kseeb Solutions


Ncert Solutions For Class 1 Hindi Chapter 6 छ क छ क ग ड Learn Cbse


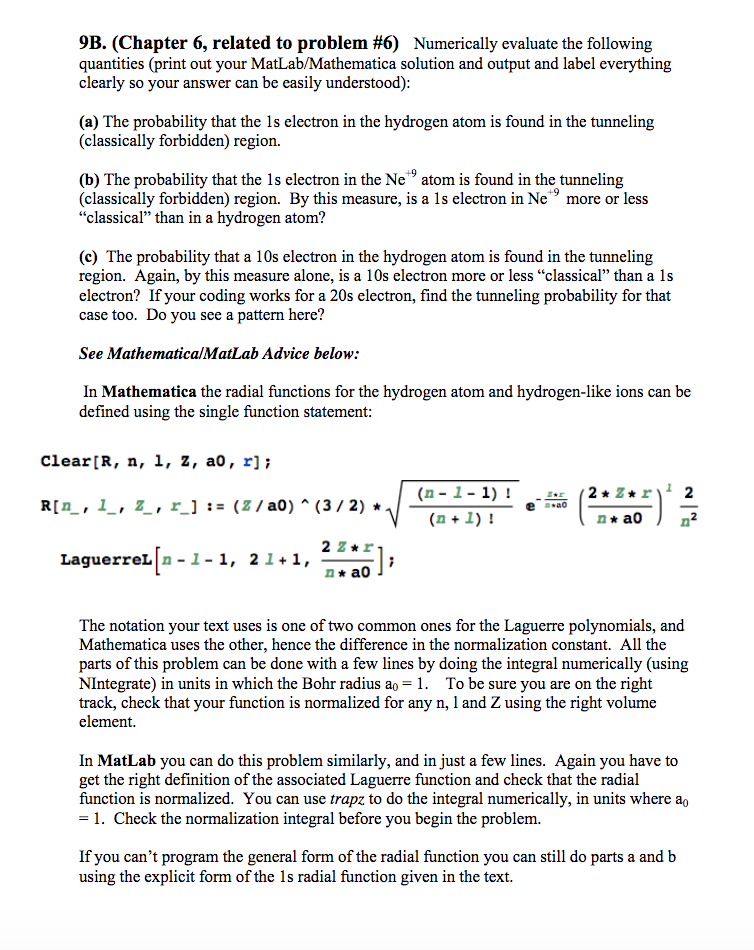
Solved 9b Chapter 6 Related To Problem 6 Numerically Chegg Com


Solved This Assignment Is From Chapter 6 Of The Textbook Chegg Com


Advanced Mathematics And Mechanics Applications Using Matlab Third Edition Halpern David Wilson Howard B Turcotte Louis H 9781584882626 Amazon Com Books


Ncert Solutions For Class 7 Sanskrit Chapter 6 सद च र


Bioe 1000 Hw For Week 3 Hw Matlab Interactive Computation 2019 Warning Tt Undefined Function Studocu


Solution Manual For Signals And Systems Analysis Using Transform Methods Matlab 3rd Edition By M J Roberts U Qidiantiku Testbank


How To Solve Microwave Engineering Pozar Chapter 03 Example 02 With Matlab Cylindrical Wave Guide Cut Off Frequencies All About Circuits


Solved Max View My Solutions Chapter 6 Problem 26 Write A Chegg Com


Feedback Control Of Dynamic Systems Eighth Edition Sc Solutions


Solution Of Matlab Chapter 6


Chapter 06 Homework 5th Edition Pdf Matlab For Engineers 5th Edition Chapter 6 Homework Solutions This Mlx File Calls The Functions Requested In The Course Hero

Iklan Atas Artikel

Iklan Tengah Artikel 1

Iklan Tengah Artikel 2

Iklan Bawah Artikel